发布时间:2025-12-04 浏览次数:1131

经颅微电流刺激(CES),全称Cranial Electrotherapy Stimulation,是一种对头部施加低强度电流的非侵入性物理干预方法 。它就像一位温柔的 “大脑守护者”,通过特定的电流刺激,来调节大脑的神经活动,从而改善各种身体和心理症状。
与其他治疗方法相比,CES具有许多独特的优势。它是一种非侵入性的治疗方法,不需要进行手术或注射药物,避免了传统治疗方法带来的创伤和副作用。CES还具有良好的安全性和耐受性,大多数患者都能轻松接受治疗,不用担心会有不适反应 。
正是由于这些优势,CES在临床上得到了广泛的应用,尤其在失眠治疗领域,它正逐渐成为一颗闪耀的新星,为众多失眠患者带来了新的希望。那么,它在慢性失眠的治疗中究竟表现如何呢?让我们一起走进相关的研究。
研究详情大公开
为了深入探究经颅微电流刺激(CES)在慢性失眠治疗中的效果,科研人员们展开了一系列严谨而细致的研究,为我们揭示了 CES 治疗慢性失眠的奥秘。
(一)实验设计
这项研究选取了 2023 年 3 月 - 2024 年 10 月期间,就诊于安徽医科大学第一附属医院睡眠障碍门诊的 72 例慢性失眠患者。这些患者被随机分为 4 组,分别接受不同参数的 CES 刺激或假刺激治疗 。具体分组及刺激参数如下:
- G1 组:接受 0.5Hz、300μA 的电流刺激;
- G2 组:接受 1.5Hz、300μA 的电流刺激;
- G3 组:接受 100Hz、300μA 的电流刺激;
- G4 组:接受假刺激,即设备外观与真刺激组相同,但电极不输出电流 。
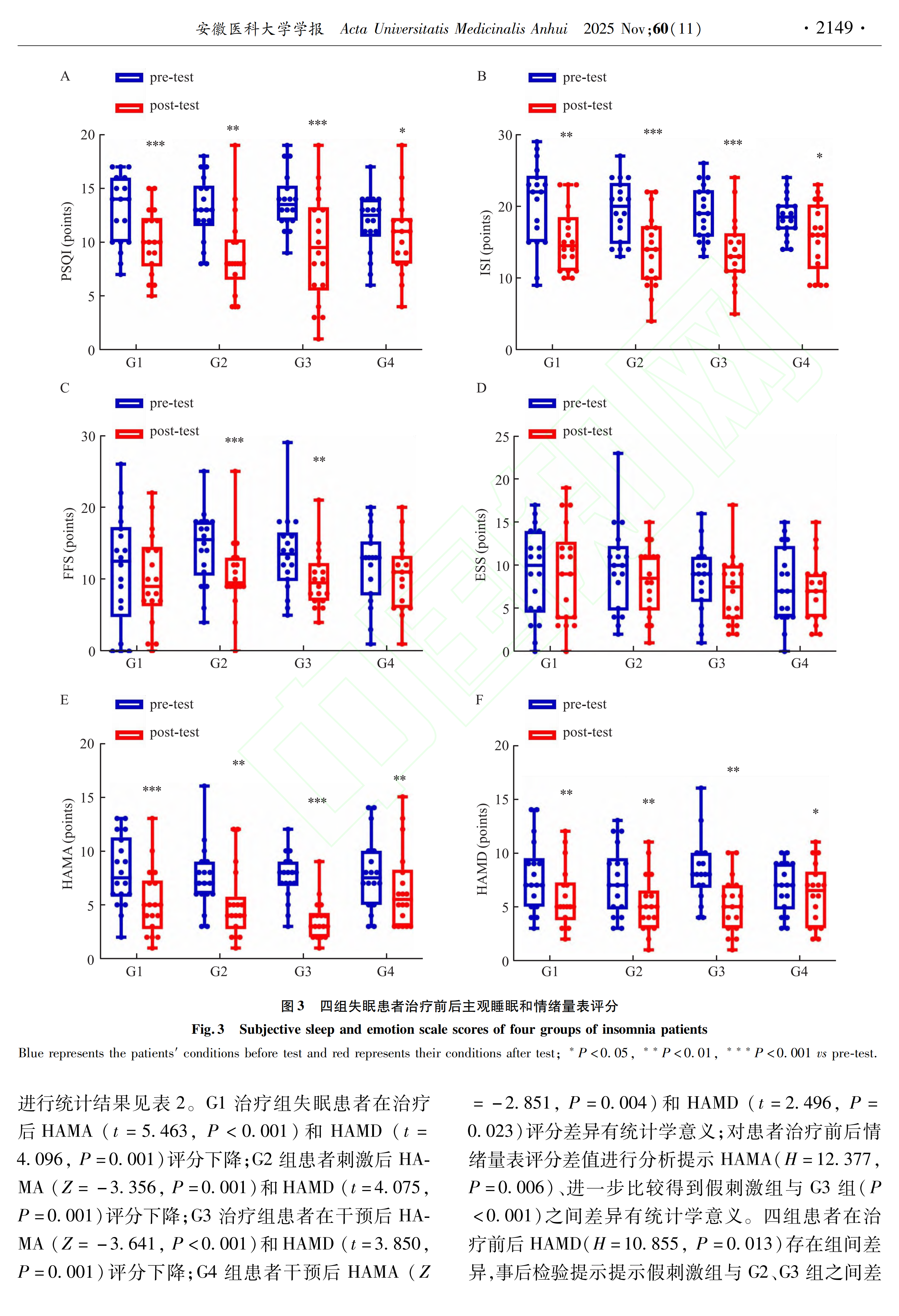
为了全面评估 CES 的治疗效果,研究人员采用了多种评估方式 。在主观睡眠方面,使用匹兹堡睡眠质量指数(PSQI)和失眠严重指数(ISI),在干预前和干预 10d 后,对患者进行主观睡眠评分,以此来了解患者自身对睡眠质量的感受和评价 。同时,采用弗林德斯疲劳量表(FFS)和艾普沃斯嗜睡量表(ESS)评估患者白天嗜睡情况,采用汉密尔顿焦虑量表(HAMA)和汉密尔顿抑郁量表(HAMD)进行情绪评定 。在客观睡眠方面,则通过整夜多导睡眠监测(PSG)来记录患者的睡眠情况。患者在安静、光线和温度适宜的睡眠监测室,使用多导睡眠监测仪(Compumedics),在 10d 的干预前和干预后,记录从晚 10:00 至次日上午 6:00 的睡眠情况 。PSG 记录的操作遵循美国睡眠医学学会制定的标准,记录参数包括 32 个脑电导联、双侧眼电图、心电图、肌电图等,通过这些参数可以准确地评估患者的睡眠潜伏期、睡眠总时间、睡眠效率等客观睡眠指标 。
(二)实验结果
经过 10 天的治疗后,研究人员发现,真刺激组(G1 组、G2 组、G3 组)患者的主观睡眠评分有了明显改善 。其中,G1 治疗组的 PSQI、ISI 评分降低;G2 组 PSQI、ISI、FFS 评分下降;G3 治疗组 PSQI、ISI、FFS 降低 。与假刺激组相比,G2、G3 组在 PSQI、ISI 评分降低更明显,FFS 评分升高更明显,这表明 G2、G3 组的治疗效果更为显著 。
在客观睡眠指标上,G2 治疗组的患者睡眠总时间(TST)增加,睡眠潜伏期(SOL)减少,睡眠效率(SE)明显增加;G3 治疗组的 TST 增加,SOL 减少,SE 增加 。这说明 CES 治疗能够有效增加患者的睡眠时间,缩短入睡时间,提高睡眠效率 。而在睡眠结构方面,研究未观察到 CES 对 N1 期比例等睡眠结构的影响 。
此外,在情绪调节方面,治疗后患者的焦虑抑郁情绪也有所改善 。G1、G2、G3 治疗组患者在干预后 HAMA 和 HAMD 评分均下降,G4 组患者干预后 HAMA 和 HAMD 评分也存在统计学差异 。进一步分析发现,假刺激组与 G3 组在 HAMA 评分上差异有统计学意义,假刺激组与 G2、G3 组在 HAMD 评分上差异均有统计学意义 。这表明 CES 治疗不仅能够改善睡眠,还对患者的情绪调节起到了积极作用 。
作用机制大探索
CES改善慢性失眠的作用机制虽未完全明确,但已有研究揭示了关键方向,核心可概括为三大调节作用:
一是调节脑结构与脑功能。失眠患者静息时大脑网络常处于过度唤醒状态,而CES通过耳夹电极释放的微电流,能精准作用于颞区和延髓等关键脑区,诱导皮层下活动,帮助紊乱的大脑网络恢复平衡。
二是平衡神经递质分泌。神经递质失衡是失眠、焦虑的重要诱因,CES治疗20分钟即可显著提升神经递质水平——脑脊液和血浆中5-羟色胺分别增加50%-200%、15%-40%,β-内啡肽分别增加219%、98%,这些递质的提升能直接改善睡眠与情绪。
三是优化大脑电活动模式。定量脑电图研究显示,0.5Hz的CES治疗后,代表放松状态的α脑电波显著增加,而与困倦相关的δ、θ脑电波减少,帮助大脑从兴奋态转向放松态,为入睡创造有利条件。
优势与局限面面观
(一)优势显著
作为慢性失眠的新兴疗法,经颅微电流刺激(CES)优势突出。传统安眠药易致依赖,还可能引发头晕、记忆减退及肝肾损伤等副作用,而CES完全规避了这些风险——它无需用药、无创无痛,仅通过温和电流调节大脑状态。操作上更是便捷,患者在家就能像用普通家电一样使用,省去频繁跑医院的麻烦,且安全性和耐受性良好,大多数人都能轻松接受。
(二)局限待解
尽管CES在慢性失眠治疗中潜力可期,但现有研究仍有局限:本次研究10天干预期较短,且缺乏治疗后随访,难以全面评估其长期疗效与远期效果。未来研究可通过增加样本量提升结果可靠性,延长干预期、加入长期随访以明确长期作用与复发情况,同时设立适应夜优化研究准确性,从而为患者提供更优治疗方案。
未来可期
经颅微电流刺激(CES)为慢性失眠治疗带来新曙光:它能有效改善睡眠质量、延长总睡眠时间、缩短入睡时间,还可调节焦虑抑郁情绪,为身心健康提供双重保障,给失眠患者带来希望。
目前研究仍需深化,未来科研人员将进一步探索CES作用机制、优化治疗参数,并可能结合药物、心理等疗法,打造个性化综合治疗方案,提升疗效。
期待更多CES相关研究成果问世,让我们共同关注失眠治疗新进展,助力每个人都能拥有优质睡眠。
羽丰医疗的经颅直流电刺激仪
随着CES治疗慢性失眠的研究深入,相关产品日益丰富,羽丰医疗的经颅直流电刺激仪便是备受关注的一款。
该仪器是无创神经调控设备,通过0-2mA恒定低强度电流,经电极作用于指定脑区,改变神经元静息膜电位以调节其兴奋性,帮助失衡的神经递质与异常的神经元恢复正常状态,从而改善大脑功能。
其适用范围广泛:神经、精神类疾病康复:脑损伤所致的运动障碍、平衡障碍、认知障碍、言语语言障碍、视知觉障碍、意识障碍、肌张力障碍等、脊髓损伤、痫、失眠;抑郁症、焦虑症、精神分裂症、脑卒中、失语症等;儿童康复:儿童脑瘫、自闭症、多动症、学习障碍等;疼痛康复:中枢性疼痛、脊髓痛等;成瘾性治疗:戒毒、戒烟、戒酒。
它能有效改善神经功能;安全无创,无需手术,避免创伤与风险;操作简便,患者可在医生指导下居家使用;体积小巧便携,方便随时随地治疗。